Lab and Faculty Reports
This page hosts documents pertaining to The University of Michigan’s Unit for Laboratory Animal Medicine (ULAM), founded in 1962 by Bennett Cohen, D.V.M, which was one of the nation’s first laboratory animal medicine programs. Following are Commitiee for the Use and Care of Animals Annual Reports outlining the University of Michigan's compliance with national regulations and progess as it is one of the largest animal testing research institution in the country.
1983 Memo from Bennett J. Cohen, founder and director of U-M’s Unit for Laboratory Animal Medicine (ULAM), forwarding the American Association for Accreditation of Laboratory Animal Care’s inspection report to the University’s Committee on Use and Care of Animals (responsible for overseeing animal welfare in campus laboratories). Cohen notes that the laboratories did not receive a clean bill of health.
The 1983 site-visit evaluation report from the American Association for Accreditation of Laboratory Animal Care sent to Bennett J. Cohen, director of ULAM. The report describes the Association's findings from a recent inspection that had examed the state of the animal research facilities at the U-M for accreditation. It summarizes widespread deficiencies in surgical spaces, sanitation practices, housing conditions, ventilation, lighting, and animal health oversight, along with required corrective actions. Notable findings include dirty and blood-stained surgical areas, overcrowded or improperly sized cages, rusted or urine-encrusted cages and equipment, and a morgue freezer overfull of dead animals amid blood and other debris.
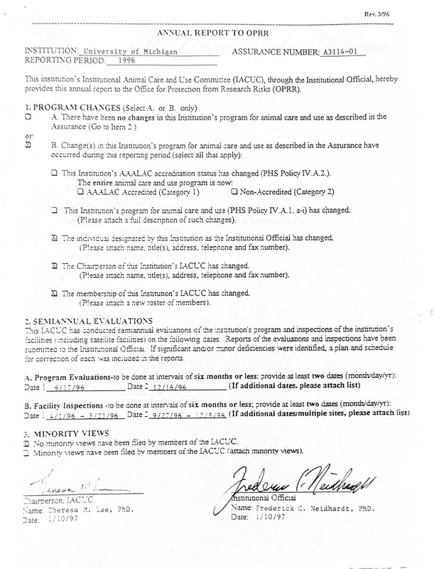
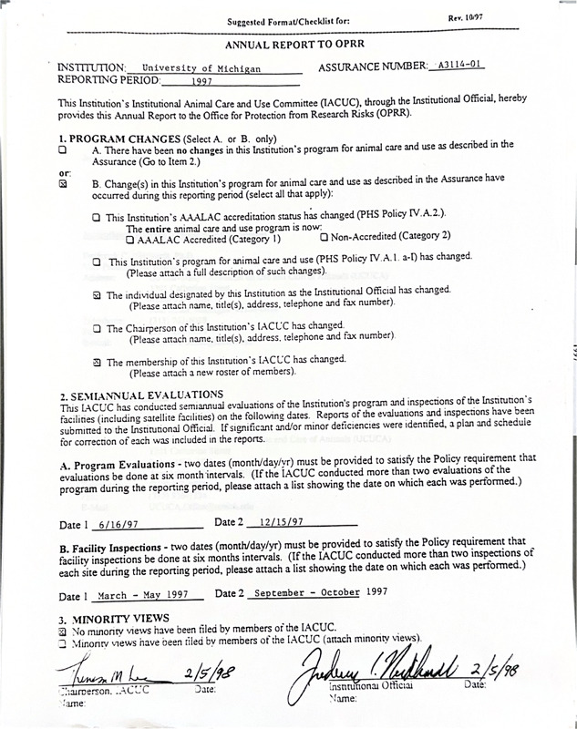
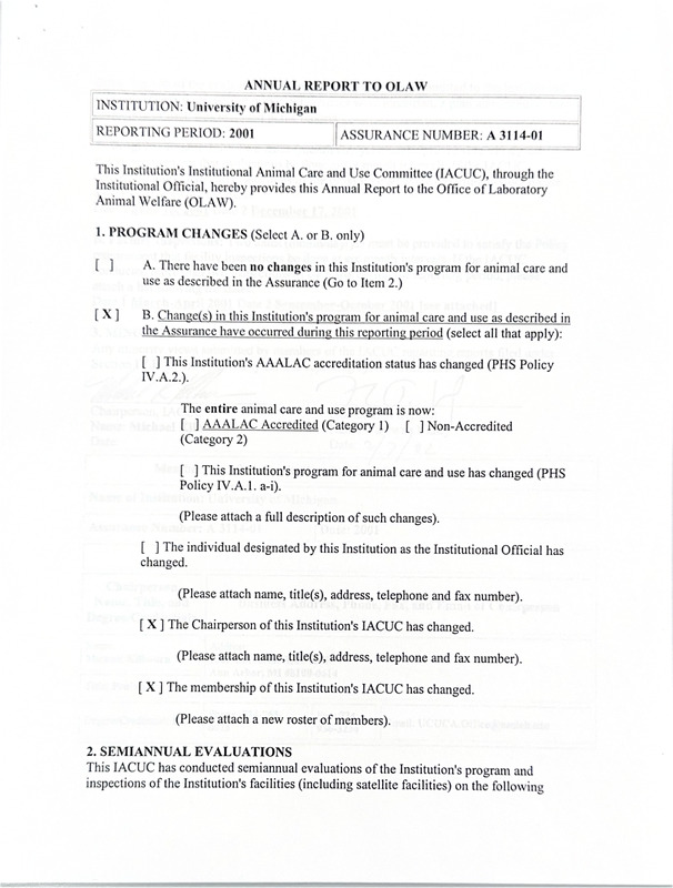
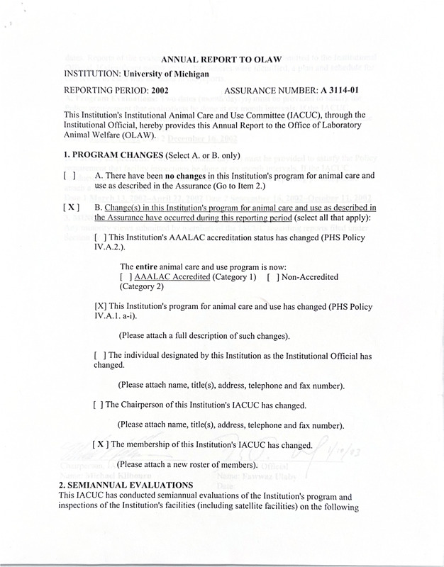
This Item Carousel hosts the Annual Reports from OLAW (formerly OPPR) which outline each years: changes made, semi-annual review, minority reports, a list of the the members, and a list of the facilty site inspections conducted that year









